师大主页
书记/院长信箱
辅导员信箱
办事指南
English
微信公众号
关注官方微信
首页
学院概况
学院概况
机构设置
学科设置
院委员会
ENGLISH
师资队伍
师资队伍
学人风采
合作(兼职)导师
学科建设
学科学位点介绍
重点学科
学术研究
学术成果
科研项目
学术交流
学术刊物
科研获奖
人才培养
本科生
研究生
研究生开题答辩公告专栏
继续教育
精品课程
党建思政
教师党建
学生党建
合作交流
合作项目
国际交流
校友之家
校友动态
校友名册
校友风采
历届合影
推荐阅读
《中国现代文学》入选首批国家级一流本科课程
[2020-12-03]
【治学•修身|“科研伦理”院长论坛】论学术研究中的血痕与墨痕
[2020-10-09]
省级媒体专题报道文学院前辈学者孔孚先生诗文书论集出版
[2020-07-18]
【文苑往事】张在仪(1961级校友):孜孜矻矻求学乐——由一份学习笔记小清单所想起的
[2020-06-12]
中国书画美学国际学术研讨会暨翰墨儒林:第二届全国教授书画作品展在山东师范大学举行
[2019-12-02]
当前位置:
首页
>>
学院公告
>>
正文
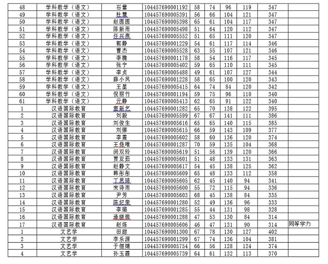
文学院2017年硕士生招生考试复试名单
2017年03月21日 15:46 点击:[]
【
关闭
】